摘要:本文介绍了使用超声流量计在线校准大口径流量计时影响测量准确度的因素, 并对其测量结果进行了不确定度分析。
随着经济的快速发展, 大口径流量计越来越多地应用于供水、供热以及污水处理等行业。由于其多用于贸易结算或环境监测, 按照计量法规定应定期送到计量机构进行检定。而现实情况是, 大口径流量计拆卸难、送检成本高, 企业难以承受。因此, 在线校准流量计在不影响企业正常生产的情况下既降低成本, 又满足了计量管理的需要, 深受企业的欢迎。
大口径流量计在线校准有三种常用方法, 分别是液位落差法、电气参数法和标准表比对法。液位落差法是利用水池作为测量容器, 通过测量水位计算出容积, 该方法要占用一定厂房面积, 且修建时应保证一定的准确度;电气参数法通过对被测表的电阻和转换器等参数进行校准从而确定被测表性能, 但无法对流量计整体校准, 而且各个厂家的标准信号模拟器并不通用, 建标成本高;标准表比对法多使用超声流量计为标准表与被校流量计串联, 通过比对法确定被测流量计的准确度, 由于其通用性强, 操作简单, 携带方便, 计量机构多采用以超声流量计为标准表的比对法。
1、工作原理:
时差法超声测流是利用超声波在流体中的传播特性测量流量的, 分别测量其顺流、逆流的传播时间tdown和tup, 得出时差值Δt从而计算出流体的轴向线平均流速v, 再利用流体力学原理修正后, 可得到轴向面平均流速vm, 乘以测量出流体的过流面积S就可算出测量面的体积流量qv。
按图1所示, 顺流、逆流传播时间与各量之间的关系是:

图1 超声流量计工作原理图
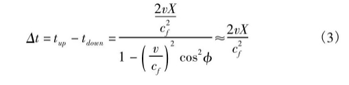
由式 (1) 、 (2) 可算出Δt, 同时由于在工业测量中超声波在液体中传播速度远大于液体的流速, 则

那么, 由式 (3) 可得出流体轴向线平均流速的表达式

式中:L—声道长度, cf—声波在流体中传播流速, φ—声道角, X—探头在管线方向上的安装间距。
2、影响测量准确的因素:
2.1、前后直管段:
超声流量计属于速度式流量计, 其原理是建立在理想流场条件下点或线流速与面流速的函数关系之上的, 流场不稳定或流速太低都会使计量的准确性大打折扣。为保证有稳定的流体流场, 流量计应安装在远离泵的出口处, 在管道安装位置要求上游直管段大于10D (D为管道内径) , 下游直管段大于5D。如现场条件无法满足, 应尽量远离弯头、阀门等扰流件, 选择流动干扰小的位置。
2.2、管道内径:
管道在长期使用后, 内壁会结垢或形成淤泥层, 内壁衬里可能会磨损或变形。超声测厚仪可以测量管道壁厚但对结垢层无法测量, 管道内径误差±1%, 会带来约±2%的流量误差, 但企业常常忽视管道内结垢问题, 建议企业采用易于清洗的管道连接, 方便校准前清理测量管道, 保证得到的内径直准确可靠。
2.3、探头安装:
超声流量计探头有两种安装方式, 一般管径大于200mm采用V法, 小于200mm时采用Z法。探头应安装在管道避开管道顶部、底部以及焊缝的水平位置, 更要确保两探头与管径方向相同、安装稳定、间距与计算距离一致。由式 (4) 可知, 间距X与流速成反比, 即间距增大1%, 流量减小1%;间距减小1%, 流量增大1%。
2.4、磁场干扰:
虽然大多数流量计的安装规定都要求周围无强磁场, 但在实际工作中, 由于历史原因或对流量计了解较少, 很多企业都将自家的流量计安装在了泵房附近。这些大功率电气设备产生的磁场, 容易使换能器不能正常接收信号, 造成显示不稳定或无显示。对于这些有强磁场的要加装接地装置, 不与电机或其他设备共用地线, 同时做好绝缘屏蔽工作, 减少管道杂散电流干扰。
3、测量结果的不确定度分析:
本次分析以对某自来水站出水管道上流量计校准为例, 标准表选用1.0级的便携式超声流量计, 所测管道内径为500mm。连续测量3组数据, 每组测量3次, 每次20min。仅将每组平均值及处理数据录入表1。
表1 校准数据

3.1、测量模型:
超声流量计作为标准表, 则累计示值Qs为:

式中:v—轴向线平均流速;K—流速分布修正系数;D—管道内径, t—测量累计时间。
用超声流量计做标准表, 则被测流量计的相对示值误差E:

式中:Qm—被测流量计的累计示值;Qs—标准表的累积示值。
3.2、灵敏系数:
3.3、不确定度分量评定:
3.3.1、标准表及校准方法引入的不确定度:
3.3.1. 1、标准表引入的不确定度:
本次校准使用1.0级的超声流量计作为标准表, 均匀分布, 则

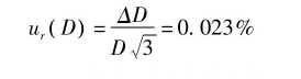
3.3.1. 2、管道内径引入的不确定度:
使用卷尺和超声测厚仪间接测量管道内径的准确度一般在±0.2mm, 均匀分布, 则

3.3.1. 3、启停不同步引入的不确定度:
在线校准无需计量测量时间, 但要求校准开始或结束时, 同时记录被测流量计和标准表示值。这一过程要2名专业人员配合完成, 显然无法真正做到同步启停, 人的反应按Δt'=0.4s估算, 则

那么, 标准表及校准方法引入的不确定度

3.3.2、被测流量计引入的不确定度:
被测流量计引入的不确定度主要是因测量的重复性, 即ur (Qm) =ur (Er) 。由表1可知, 测量重复性引起的不确定度
, 那么可得

3.3.3、平均误差重复性引入的相对标准不确定度:

3.4、合成标准不确定度评定:
将上面数据带入合成标准不确定度公式, 可得:

3.5、扩展不确定度的评定:
当k=2时, 超声流量计在线校准测量结果的扩展不确定度:Urel=k*uc r=1.25%
4、结束语:
在线校准是流量计量技术发展的趋势, 既不影响企业正常生产, 又满足了自身计量管理的需要, 虽然与离线检定存在差异, 但也在一定程度上解决了大口径流量计的溯源问题, 是目前技术下实用有效的办法。但我们应看到由于现场条件恶劣, 受人为操作影响较大, 该方法也存在一定的局限性。当然, 随着技术的进步和对在线校准方法的研究, 在线校准结果的准确度也会进一步提升。